Официальное опубликование правовых актов
ОФИЦИАЛЬНОЕ ОПУБЛИКОВАНИЕ
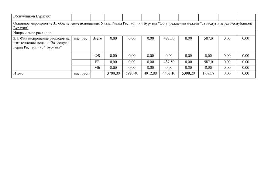
Постановление Правительства Республики Бурятия от 14.02.2018 № 72
"О внесении изменений в постановление Правительства Республики Бурятия от 10.04.2013 № 180 "Об утверждении Государственной программы Республики Бурятия "Совершенствование государственного управления"
Номер опубликования: 0300201802190022
Дата опубликования: 19.02.2018
Страница №11 из 75:
Увеличить