Официальное опубликование правовых актов
ОФИЦИАЛЬНОЕ ОПУБЛИКОВАНИЕ
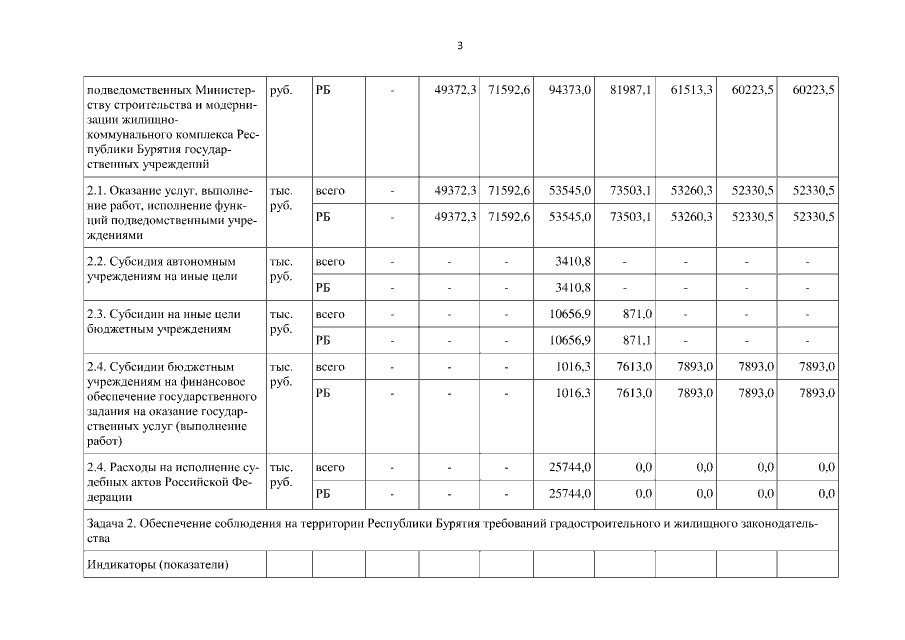
Постановление Правительства Республики Бурятия от 25.12.2017 № 612
"О внесении изменений в постановление Правительства Республики Бурятия от 02.08.2013 № 424 "Об утверждении Государственной программы Республики Бурятия "Развитие строительного и жилищно-коммунального комплексов Республики Бурятия"
Номер опубликования: 0300201712290016
Дата опубликования: 29.12.2017
Страница №79 из 81:
Увеличить