Официальное опубликование правовых актов
ОФИЦИАЛЬНОЕ ОПУБЛИКОВАНИЕ
Постановление Правительства Республики Бурятия от 17.11.2017 № 543
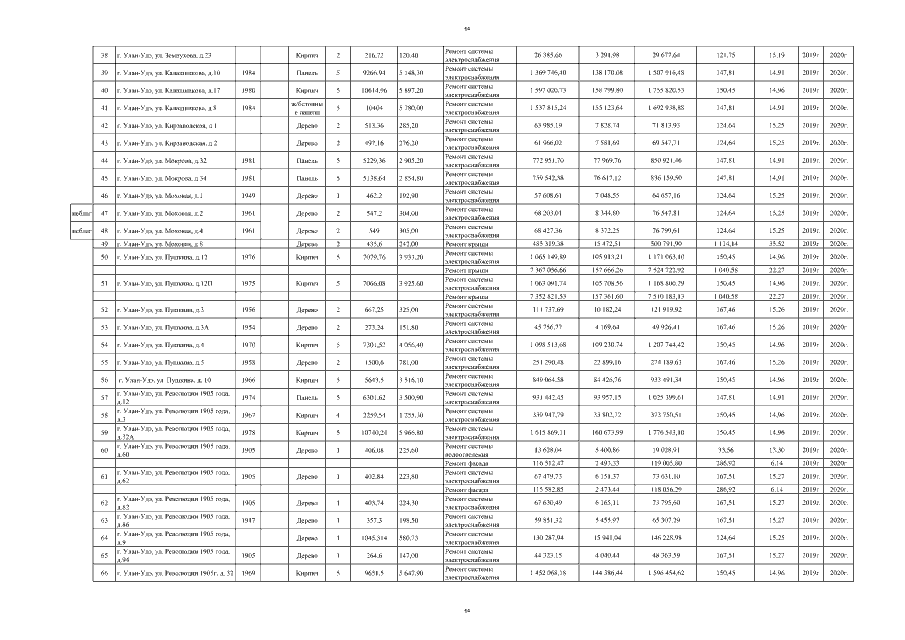
"Об установлении минимального размера взноса на капитальный ремонт общего имущества в многоквартирных домах на территории Республики Бурятия на 2018 год, утверждении размера предельной стоимости и минимального перечня услуг и (или) работ по капитальному ремонту общего имущества в многоквартирных домах на территории Республики Бурятия на 2018 год и о внесении изменений в постановление Правительства Республики Бурятия от 18.07.2016 № 320"
Номер опубликования: 0300201711220006
Дата опубликования: 22.11.2017
Страница №78 из 79:
Увеличить