Официальное опубликование правовых актов
ОФИЦИАЛЬНОЕ ОПУБЛИКОВАНИЕ
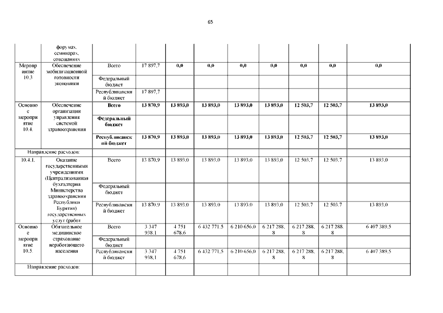
Постановление Правительства Республики Бурятия от 12.05.2017 № 207
"О внесении изменений в постановление Правительства Республики Бурятия от 02.07.2013 № 342 "Об утверждении Государственной программы Республики Бурятия "Развитие здравоохранения"
Номер опубликования: 0300201705150003
Дата опубликования: 15.05.2017
Страница №73 из 120:
Увеличить