Официальное опубликование правовых актов
ОФИЦИАЛЬНОЕ ОПУБЛИКОВАНИЕ
Постановление Правительства Республики Бурятия от 07.10.2016 № 468
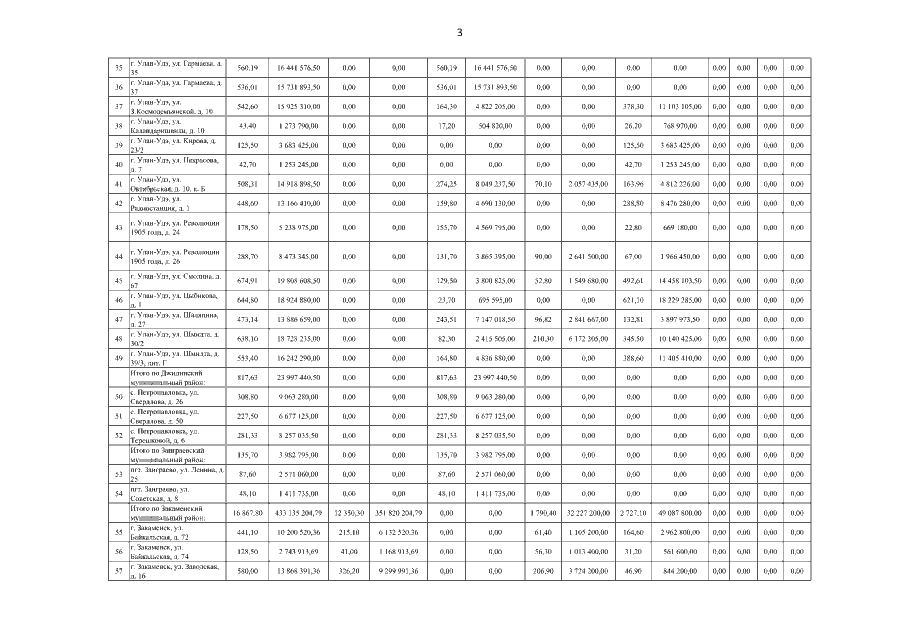
"О внесении изменений в постановление Правительства Республики Бурятия от 27.06.2013 № 332 "Об утверждении Республиканской адресной программы "Переселение граждан из аварийного жилищного фонда, в том числе с учетом необходимости развития малоэтажного жилищного строительства в Республике Бурятия, в 2013 - 2017 годах"
Номер опубликования: 0300201610110006
Дата опубликования: 11.10.2016
Страница №49 из 88:
Увеличить