Официальное опубликование правовых актов
ОФИЦИАЛЬНОЕ ОПУБЛИКОВАНИЕ
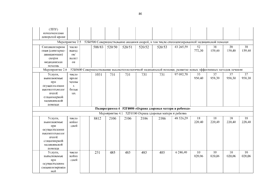
Постановление Правительства Республики Бурятия от 30.06.2016 № 291
"О внесении изменений в постановление Правительства Республики Бурятия от 02.07.2013 № 342 "Об утверждении Государственной программы Республики Бурятия "Развитие здравоохранения"
Номер опубликования: 0300201607010003
Дата опубликования: 01.07.2016
Страница №89 из 99:
Увеличить