Официальное опубликование правовых актов
ОФИЦИАЛЬНОЕ ОПУБЛИКОВАНИЕ
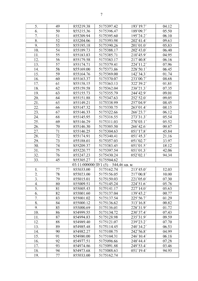
Распоряжение Правительства Республики Бурятия от 08.04.2016 № 181-р
Номер опубликования: 0300201604120007
Дата опубликования: 12.04.2016
Страница №10 из 13:
Увеличить