Официальное опубликование правовых актов
ОФИЦИАЛЬНОЕ ОПУБЛИКОВАНИЕ
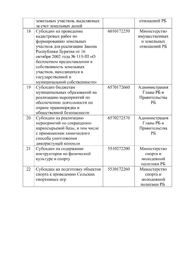
Распоряжение Правительства Республики Бурятия от 15.02.2016 № 78-р
Номер опубликования: 0300201602160016
Дата опубликования: 16.02.2016
Страница №44 из 57:
Увеличить