Официальное опубликование правовых актов
ОФИЦИАЛЬНОЕ ОПУБЛИКОВАНИЕ
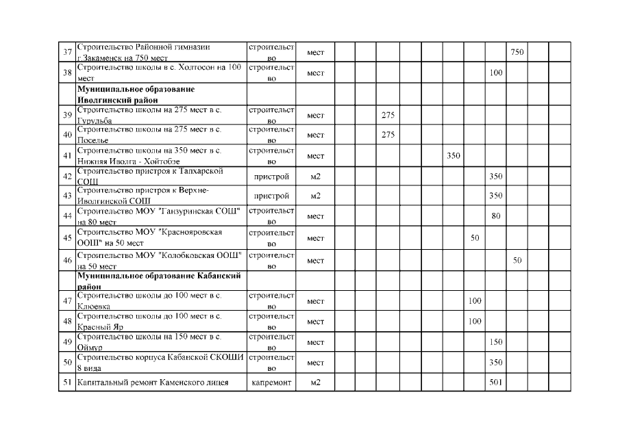
Постановление Правительства Республики Бурятия от 15.02.2016 № 44
"Об утверждении Программы по созданию новых мест в общеобразовательных организациях, в соответствии с прогнозируемой потребностью и современными условиями обучения, на 2016 – 2025 годы"
Номер опубликования: 0300201602160004
Дата опубликования: 16.02.2016
Страница №13 из 56:
Увеличить