Официальное опубликование правовых актов
ОФИЦИАЛЬНОЕ ОПУБЛИКОВАНИЕ
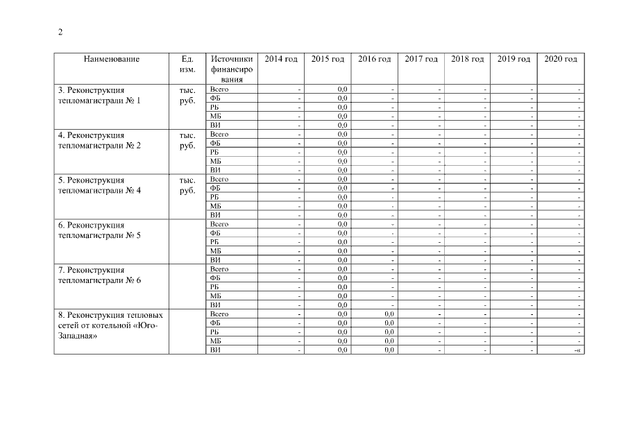
Постановление Правительства Республики Бурятия от 28.12.2015 № 661
"О внесении изменений в постановление Правительства Республики Бурятия от 02.08.2013 № 424 "Об утверждении Государственной программы Республики Бурятия "Развитие строительного и жилищно-коммунального комплексов Республики Бурятия"
Номер опубликования: 0300201512310012
Дата опубликования: 31.12.2015
Страница №85 из 331:
Увеличить