Официальное опубликование правовых актов
ОФИЦИАЛЬНОЕ ОПУБЛИКОВАНИЕ
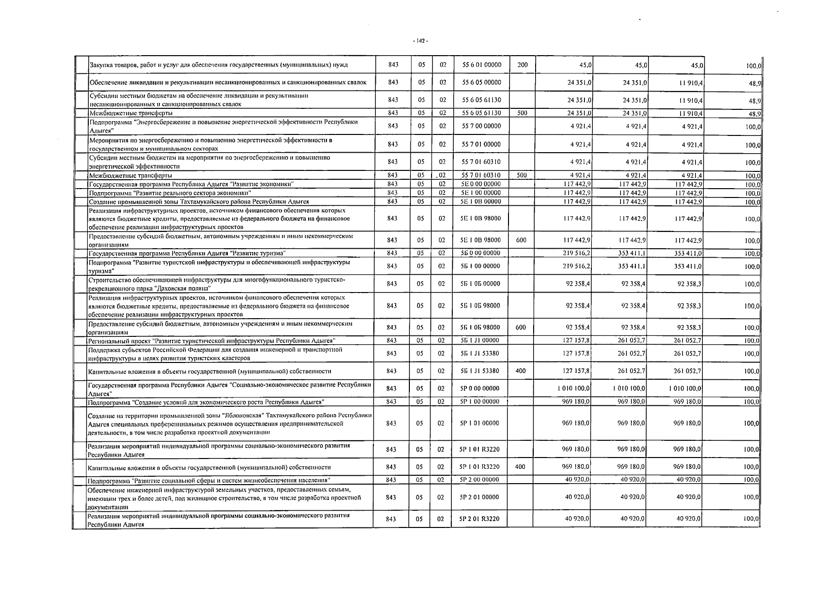
Закон Республики Адыгея от 14.06.2024 № 330
"Об исполнении республиканского бюджета Республики Адыгея за 2023 год"
Номер опубликования: 0100202406200007
Дата опубликования: 20.06.2024
Страница №142 из 179:
Увеличить