Официальное опубликование правовых актов
ОФИЦИАЛЬНОЕ ОПУБЛИКОВАНИЕ
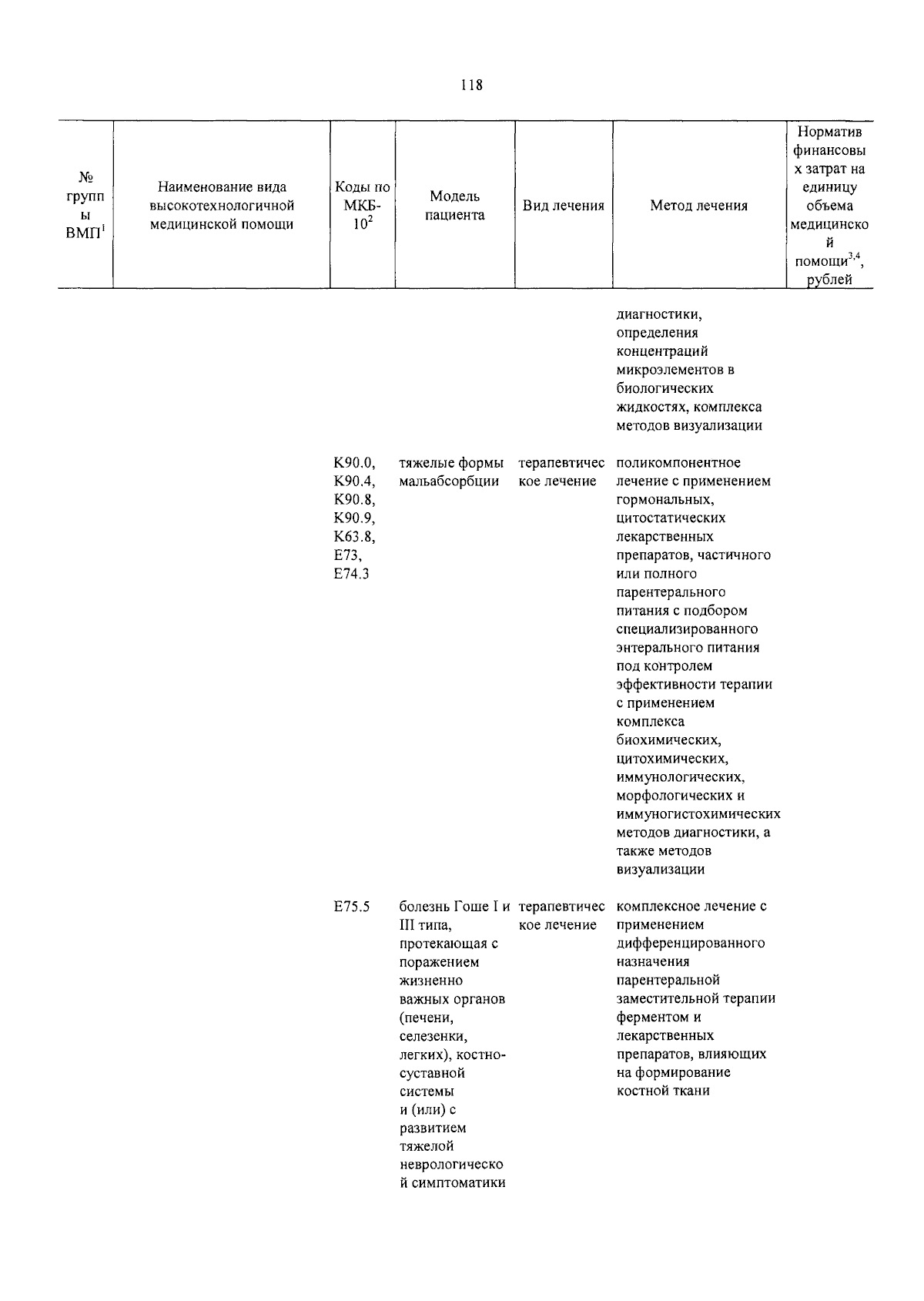
Постановление Кабинета Министров Республики Адыгея от 29.12.2023 № 370
"О Территориальной программе государственных гарантий бесплатного оказания гражданам медицинской помощи в Республике Адыгея на 2024 год и на плановый период 2025 и 2026 годов"
Номер опубликования: 0100202401030012
Дата опубликования: 03.01.2024
Страница №118 из 685:
Увеличить