Официальное опубликование правовых актов
ОФИЦИАЛЬНОЕ ОПУБЛИКОВАНИЕ
Приказ Министерства культуры Российской Федерации от 14.01.2026 № 21
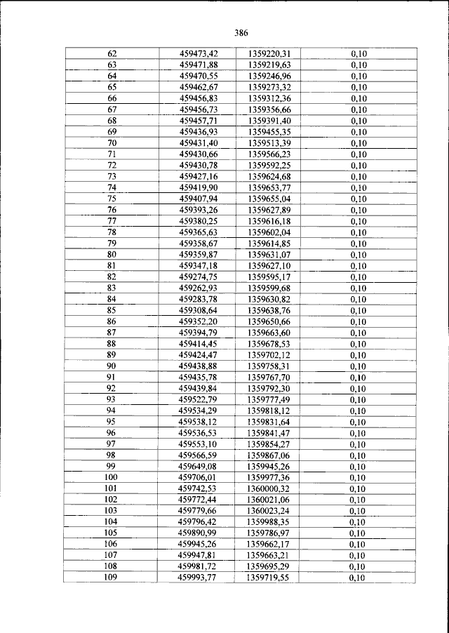
"Об утверждении границ территории объекта культурного наследия (памятника истории и культуры) народов Российской Федерации федерального значения - достопримечательное место "Поленово", расположенного по адресу: Заокский район Тульской области и Тарусский район Калужской области, а также требований к осуществлению деятельности и градостроительному регламенту в границах территории указанного объекта культурного наследия (памятника истории и культуры) народов Российской Федерации федерального значения"
(Зарегистрирован 22.04.2026 № 86162)
Номер опубликования: 0001202604240004
Дата опубликования: 24.04.2026
Страница №386 из 522:
Увеличить