Официальное опубликование правовых актов
ОФИЦИАЛЬНОЕ ОПУБЛИКОВАНИЕ
Приказ Министерства транспорта Российской Федерации от 04.03.2026 № 88
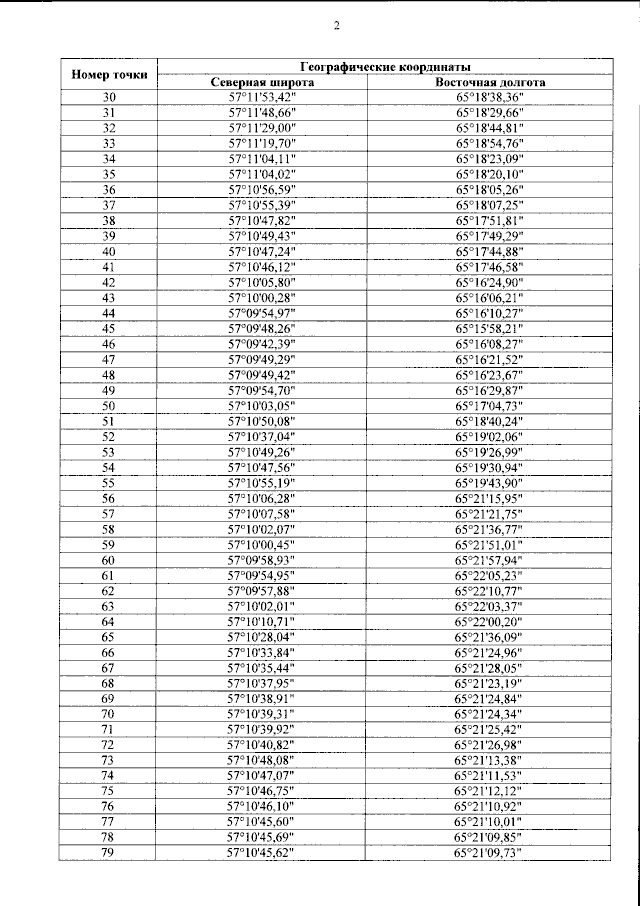
"Об открытии воздушного грузо-пассажирского постоянного многостороннего пункта пропуска через государственную границу Российской Федерации в международном аэропорту Тюмень (Рощино) (Тюменская область) в рамках I этапа и об утверждении пределов данного пункта пропуска через государственную границу Российской Федерации"
(Зарегистрирован 01.04.2026 № 85836)
Номер опубликования: 0001202604020011
Дата опубликования: 02.04.2026
Страница №4 из 13:
Увеличить