Официальное опубликование правовых актов
ОФИЦИАЛЬНОЕ ОПУБЛИКОВАНИЕ
Приказ Министерства культуры Российской Федерации от 17.02.2026 № 277
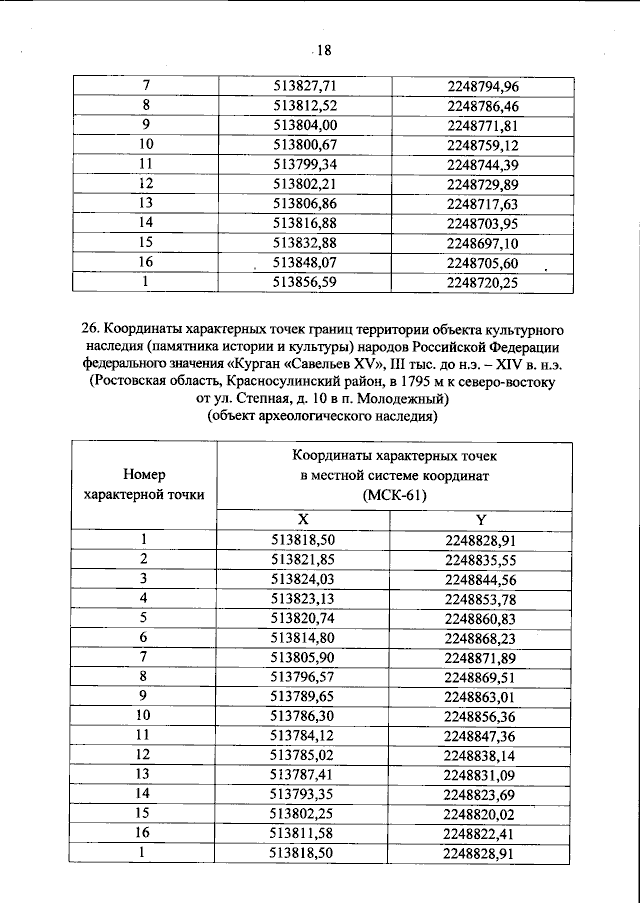
"О включении выявленных объектов культурного наследия (памятников истории и культуры) народов Российской Федерации (объектов археологического наследия), расположенных на территории Азовского района, Зерноградского района, Зимовниковского района, Константиновского района, Красносулинского района, Мартыновского района Ростовской области, в единый государственный реестр объектов культурного наследия (памятников истории и культуры) народов Российской Федерации в качестве объектов культурного наследия (памятников истории и культуры) народов Российской Федерации федерального значения и утверждении границ их территорий"
(Зарегистрирован 31.03.2026 № 85810)
Номер опубликования: 0001202604020004
Дата опубликования: 02.04.2026
Страница №71 из 84:
Увеличить