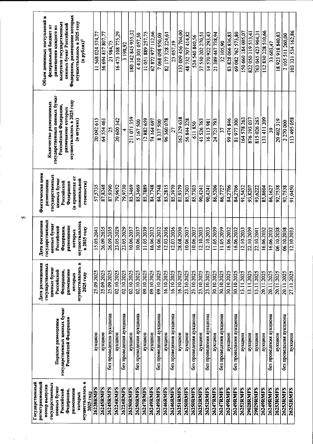
Приказ Министерства финансов Российской Федерации от 28.01.2026 № 6н
"Об утверждении Отчета об итогах эмиссии государственных ценных бумаг Российской Федерации в 2025 году"
(Зарегистрирован 26.02.2026 № 85476)
"Об утверждении Отчета об итогах эмиссии государственных ценных бумаг Российской Федерации в 2025 году"
(Зарегистрирован 26.02.2026 № 85476)
Номер опубликования: 0001202602270005
Дата опубликования:
27.02.2026
