Официальное опубликование правовых актов
ОФИЦИАЛЬНОЕ ОПУБЛИКОВАНИЕ
Приказ Министерства культуры Российской Федерации от 16.01.2026 № 48
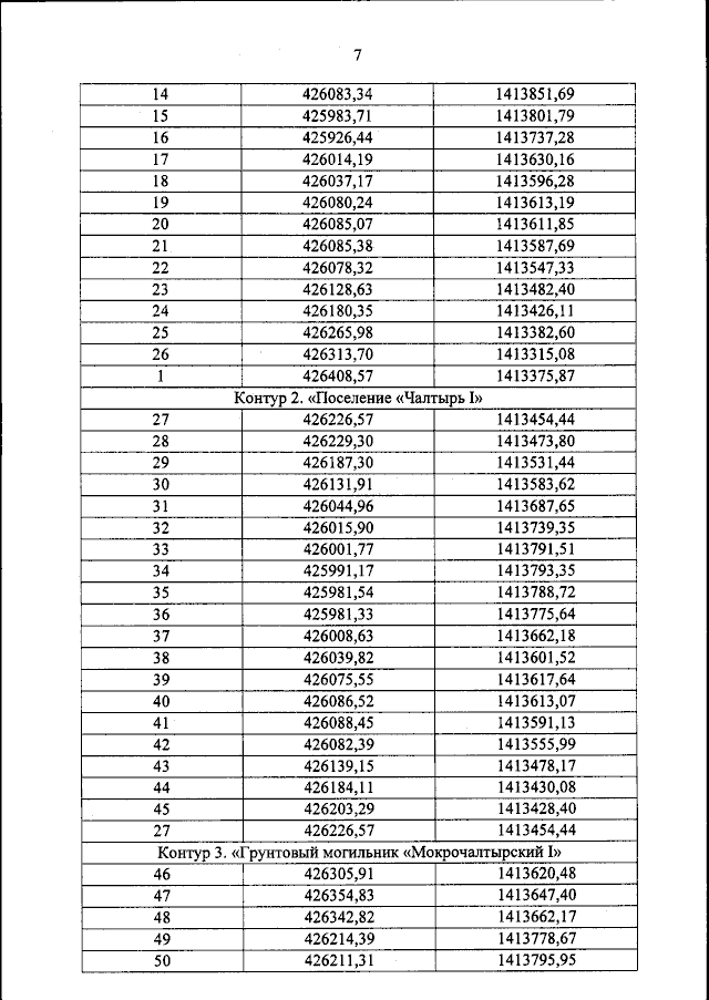
"О включении выявленных объектов культурного наследия (памятников истории и культуры) народов Российской Федерации (объектов археологического наследия), расположенных на территории Волгодонского района, Константиновского района, Красносулинского района, Матвеево-Курганского района, Мясниковского района, Октябрьского района, Пролетарского района Ростовской области, в единый государственный реестр объектов культурного наследия (памятников истории и культуры) народов Российской Федерации в качестве объектов культурного наследия (памятников истории и культуры) народов Российской Федерации федерального значения и утверждении границ их территорий"
(Зарегистрирован 26.02.2026 № 85481)
Номер опубликования: 0001202602270001
Дата опубликования: 27.02.2026
Страница №21 из 25:
Увеличить