Официальное опубликование правовых актов
ОФИЦИАЛЬНОЕ ОПУБЛИКОВАНИЕ
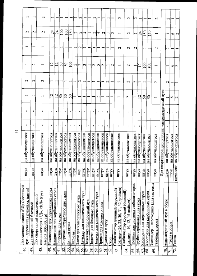
Приказ Министерства спорта Российской Федерации от 08.12.2025 № 1099
"Об утверждении федерального стандарта спортивной подготовки по виду спорта "стрельба из лука"
(Зарегистрирован 26.01.2026 № 85079)
Номер опубликования: 0001202601270027
Дата опубликования: 27.01.2026
Страница №31 из 36:
Увеличить