Официальное опубликование правовых актов
ОФИЦИАЛЬНОЕ ОПУБЛИКОВАНИЕ
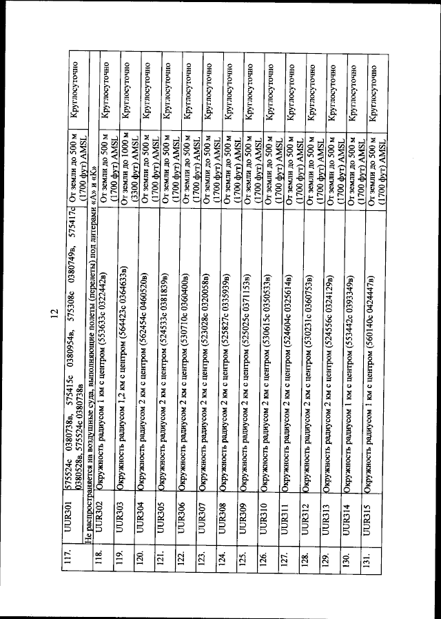
Приказ Министерства транспорта Российской Федерации от 24.11.2025 № 410
"Об установлении постоянных зон ограничения полетов и временных зарезервированных зон ограничения полетов"
(Зарегистрирован 20.01.2026 № 84997)
Номер опубликования: 0001202601210015
Дата опубликования: 21.01.2026
Страница №14 из 209:
Увеличить