Официальное опубликование правовых актов
ОФИЦИАЛЬНОЕ ОПУБЛИКОВАНИЕ
Приказ Федеральной антимонопольной службы от 06.11.2025 № 894/25
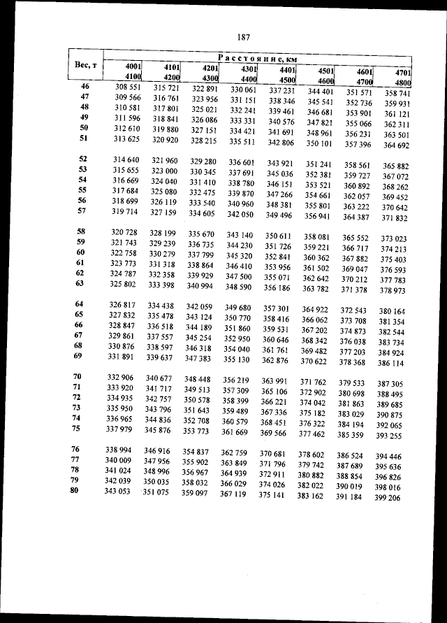
"Об утверждении Порядка расчета тарифов на перевозки грузов железнодорожным транспортом общего пользования и услуги по использованию инфраструктуры железнодорожного транспорта общего пользования, выполняемые ОАО "РЖД", а также сборов на дополнительные работы (услуги), связанные с перевозкой грузов железнодорожным транспортом общего пользования, и тарифов на перевозки грузов железнодорожным транспортом общего пользования и услуги по использованию инфраструктуры железнодорожного транспорта общего пользования, выполняемые ОАО "РЖД", сборов на дополнительные работы (услуги), связанные с перевозкой грузов железнодорожным транспортом общего пользования (Тарифное руководство № 1)"
(Зарегистрирован 22.12.2025 № 84708)
Номер опубликования: 0001202512230002
Дата опубликования: 23.12.2025
Страница №187 из 550:
Увеличить