Официальное опубликование правовых актов
ОФИЦИАЛЬНОЕ ОПУБЛИКОВАНИЕ
Приказ Министерства культуры Российской Федерации от 06.10.2025 № 1777
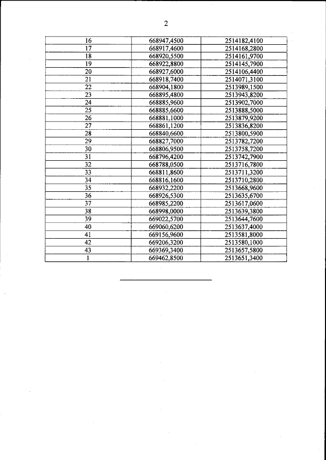
"О включении выявленного объекта культурного наследия (памятника истории и культуры) народов Российской Федерации "Комендантский дом у Двинских ворот", 1705 г. (Архангельская область, городской округ "Город Архангельск", город Архангельск, улица Ивана Рябова, дом 17, строение 5) в единый государственный реестр объектов культурного наследия (памятников истории и культуры) народов Российской Федерации в составе объекта культурного наследия (памятника истории и культуры) народов Российской Федерации федерального значения "Новодвинская крепость", 1701-1714 гг. (Архангельская область, городской округ "Город Архангельск", город Архангельск, улица Ивана Рябова, дом 17) в качестве объекта культурного наследия (памятника истории и культуры) народов Российской Федерации федерального значения и утверждении границ его территории"
(Зарегистрирован 13.11.2025 № 84166)
Номер опубликования: 0001202511140018
Дата опубликования: 14.11.2025
Страница №6 из 6:
Увеличить