Приказ Министерства культуры Российской Федерации от 06.10.2025 № 1778
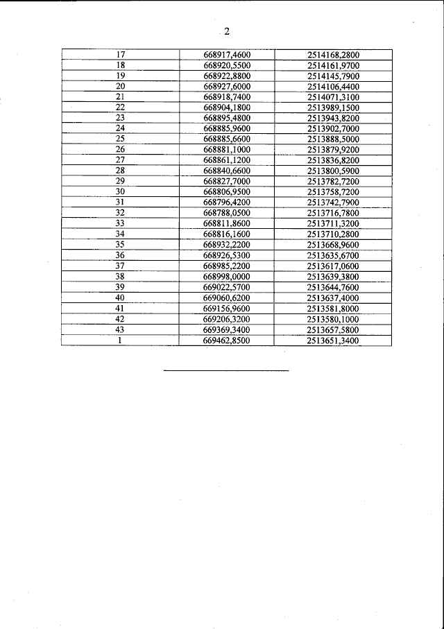
"О включении выявленного объекта культурного наследия (памятника истории и культуры) народов Российской Федерации "Крепостной ров", 1705-1714 гг. (Архангельская область, городской округ "Город Архангельск", вдоль ул. Ивана Рябова в г. Архангельске и перпендикулярно ей в направлении на север) в единый государственный реестр объектов культурного наследия (памятников истории и культуры) народов Российской Федерации в составе объекта культурного наследия (памятника истории и культуры) народов Российской Федерации федерального значения "Новодвинская крепость", 1701-1714 гг. (Архангельская область, городской округ "Город Архангельск", город Архангельск, улица Ивана Рябова, дом 17) в качестве объекта культурного наследия (памятника истории и культуры) народов Российской Федерации федерального значения и утверждении границ его территории"
(Зарегистрирован 13.11.2025 № 84167)
"О включении выявленного объекта культурного наследия (памятника истории и культуры) народов Российской Федерации "Крепостной ров", 1705-1714 гг. (Архангельская область, городской округ "Город Архангельск", вдоль ул. Ивана Рябова в г. Архангельске и перпендикулярно ей в направлении на север) в единый государственный реестр объектов культурного наследия (памятников истории и культуры) народов Российской Федерации в составе объекта культурного наследия (памятника истории и культуры) народов Российской Федерации федерального значения "Новодвинская крепость", 1701-1714 гг. (Архангельская область, городской округ "Город Архангельск", город Архангельск, улица Ивана Рябова, дом 17) в качестве объекта культурного наследия (памятника истории и культуры) народов Российской Федерации федерального значения и утверждении границ его территории"
(Зарегистрирован 13.11.2025 № 84167)
Номер опубликования: 0001202511140017
Дата опубликования:
14.11.2025
