Официальное опубликование правовых актов
ОФИЦИАЛЬНОЕ ОПУБЛИКОВАНИЕ
Приказ Министерства культуры Российской Федерации от 06.10.2025 № 1775
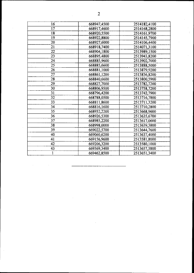
"О включении выявленного объекта культурного наследия (памятника истории и культуры) народов Российской Федерации "Северный равелин", 1710-1712 гг. (Архангельская область, городской округ "Город Архангельск", в 120 метрах к северо-востоку от здания по адресу: город Архангельск, улица Ивана Рябова, дом 17, строение 6) в единый государственный реестр объектов культурного наследия (памятников истории и культуры) народов Российской Федерации в составе объекта культурного наследия (памятника истории и культуры) народов Российской Федерации федерального значения "Новодвинская крепость", 1701-1714 гг. (Архангельская область, городской округ "Город Архангельск", город Архангельск, улица Ивана Рябова, дом 17) в качестве объекта культурного наследия (памятника истории и культуры) народов Российской Федерации федерального значения и утверждении границ его территории"
(Зарегистрирован 13.11.2025 № 84164)
Номер опубликования: 0001202511140016
Дата опубликования: 14.11.2025
Страница №6 из 6:
Увеличить