Официальное опубликование правовых актов
ОФИЦИАЛЬНОЕ ОПУБЛИКОВАНИЕ
Приказ Министерства экономического развития Российской Федерации от 24.09.2025 № 626
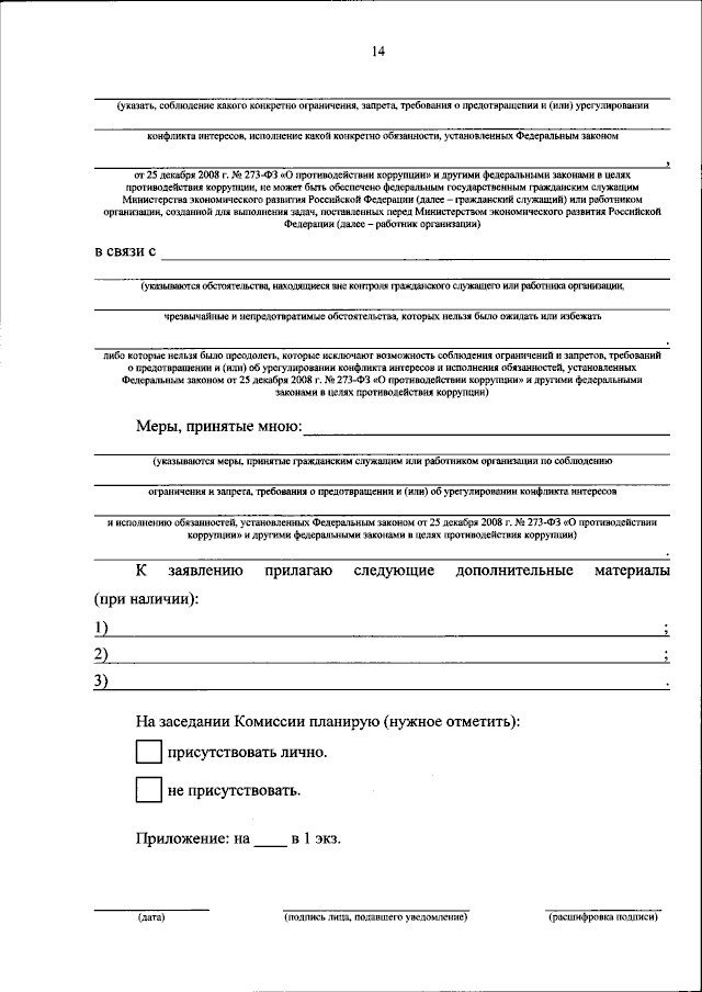
"Об утверждении Порядка поступления в Министерство экономического развития Российской Федерации обращений, заявлений и уведомлений, являющихся основаниями для проведения заседания Комиссии по соблюдению требований к служебному поведению федеральных государственных гражданских служащих Министерства экономического развития Российской Федерации и работников организаций, созданных для выполнения задач, поставленных перед Министерством экономического развития Российской Федерации, и урегулированию конфликта интересов"
(Зарегистрирован 28.10.2025 № 83973)
Номер опубликования: 0001202510290003
Дата опубликования: 29.10.2025
Страница №17 из 19:
Увеличить