Официальное опубликование правовых актов
ОФИЦИАЛЬНОЕ ОПУБЛИКОВАНИЕ
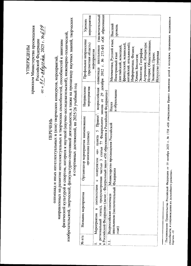
Приказ Министерства просвещения Российской Федерации от 31.08.2025 № 639
"Об утверждении перечня олимпиад и иных интеллектуальных и (или) творческих конкурсов, мероприятий, направленных на развитие интеллектуальных и творческих способностей, способностей к занятиям физической культурой и спортом, интереса к научной (научно-исследовательской), инженерно-технической, изобретательской, творческой, физкультурно-спортивной деятельности, а также на пропаганду научных знаний, творческих и спортивных достижений, на 2025/26 учебный год"
(Зарегистрирован 16.10.2025 № 83853)
Номер опубликования: 0001202510160031
Дата опубликования: 16.10.2025
Страница №3 из 266:
Увеличить