Официальное опубликование правовых актов
ОФИЦИАЛЬНОЕ ОПУБЛИКОВАНИЕ
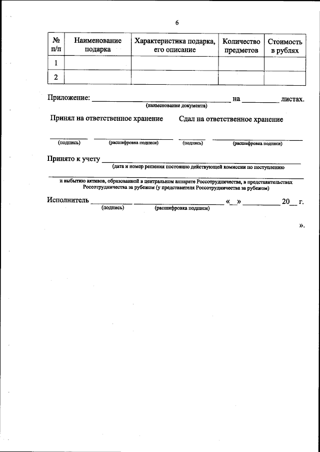
Приказ Федерального агентства по делам Содружества Независимых Государств, соотечественников, проживающих за рубежом, и по международному гуманитарному сотрудничеству от 02.09.2025 № 113-пр
"О внесении изменений в приказ Россотрудничества от 6 декабря 2019 г. № 0164-пр"
(Зарегистрирован 02.10.2025 № 83719)
Номер опубликования: 0001202510020005
Дата опубликования: 02.10.2025
Страница №8 из 16:
Увеличить