Официальное опубликование правовых актов
ОФИЦИАЛЬНОЕ ОПУБЛИКОВАНИЕ
Приказ Министерства транспорта Российской Федерации от 12.05.2025 № 158
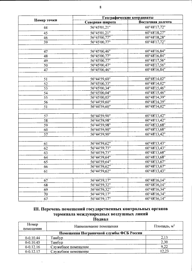
"Об открытии воздушного грузо-пассажирского постоянного многостороннего пункта пропуска через государственную границу Российской Федерации в международном аэропорту Екатеринбург Шольцово) и об утверждении пределов данного пункта пропуска через государственную границу Российской Федерации"
(Зарегистрирован 23.06.2025 № 82677)
Номер опубликования: 0001202506230012
Дата опубликования: 23.06.2025
Страница №10 из 25:
Увеличить