Официальное опубликование правовых актов
ОФИЦИАЛЬНОЕ ОПУБЛИКОВАНИЕ
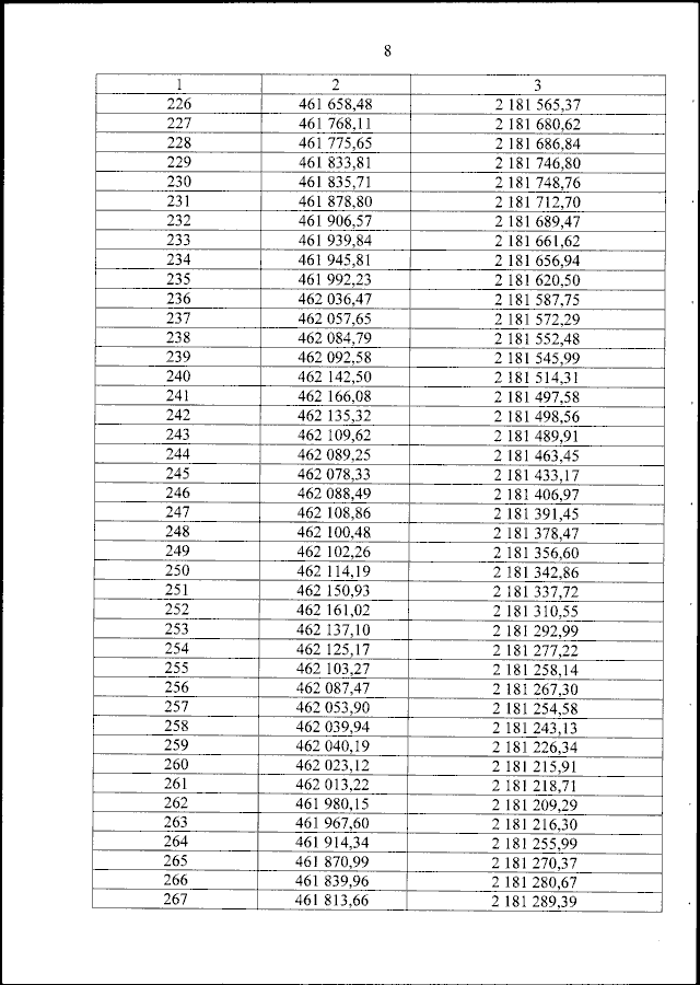
Приказ Федеральной службы охраны Российской Федерации от 15.05.2025 № 67
"Об установлении зоны охраняемого объекта (Московская область, Одинцовский городской округ, кадастровый квартал: 50:20:0020202)"
(Зарегистрирован 19.06.2025 № 82651)
Номер опубликования: 0001202506200009
Дата опубликования: 20.06.2025
Страница №8 из 17:
Увеличить