Официальное опубликование правовых актов
ОФИЦИАЛЬНОЕ ОПУБЛИКОВАНИЕ
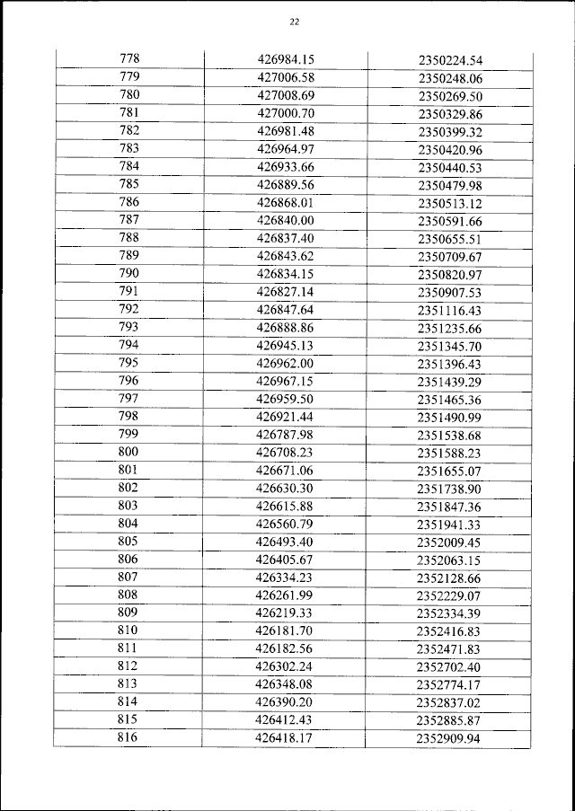
Приказ Министерства природных ресурсов и экологии Российской Федерации от 29.01.2025 № 45
"Об установлении границ охранной зоны национального парка "Зов тигра", а также об утверждении Положения о данной охранной зоне"
(Зарегистрирован 28.04.2025 № 81994)
Номер опубликования: 0001202504290005
Дата опубликования: 29.04.2025
Страница №23 из 62:
Увеличить