Официальное опубликование правовых актов
ОФИЦИАЛЬНОЕ ОПУБЛИКОВАНИЕ
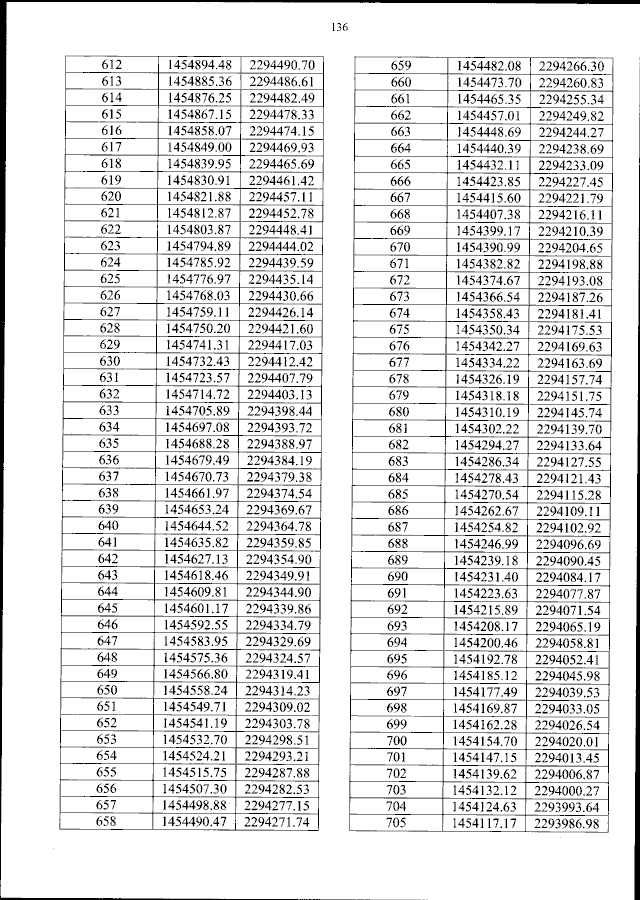
Приказ Федерального агентства воздушного транспорта от 23.10.2024 № 949-П
"Об установлении приаэродромной территории аэродрома гражданской авиации Полярный"
(Зарегистрирован 11.12.2024 № 80528)
Номер опубликования: 0001202412120005
Дата опубликования: 12.12.2024
Страница №137 из 805:
Увеличить