Официальное опубликование правовых актов
ОФИЦИАЛЬНОЕ ОПУБЛИКОВАНИЕ
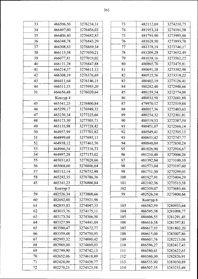
Приказ Федерального агентства воздушного транспорта от 30.09.2024 № 889-П
"Об установлении приаэродромной территории аэродрома гражданской авиации Благовещенск (Игнатьево)"
(Зарегистрирован 31.10.2024 № 79983)
Номер опубликования: 0001202411010009
Дата опубликования: 01.11.2024
Страница №362 из 481:
Увеличить