Официальное опубликование правовых актов
ОФИЦИАЛЬНОЕ ОПУБЛИКОВАНИЕ
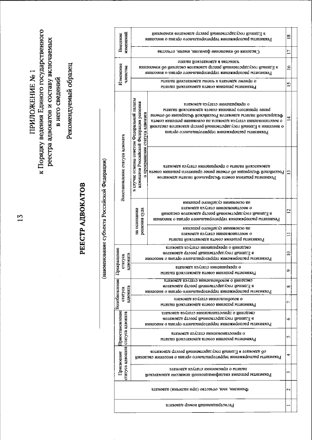
Приказ Министерства юстиции Российской Федерации от 09.10.2024 № 296
"Об утверждении Порядка ведения Единого государственного реестра адвокатов и состава включаемых в него сведений и Порядка выдачи удостоверения адвоката"
(Зарегистрирован 09.10.2024 № 79744)
Номер опубликования: 0001202410090016
Дата опубликования: 09.10.2024
Страница №15 из 28:
Увеличить