Официальное опубликование правовых актов
ОФИЦИАЛЬНОЕ ОПУБЛИКОВАНИЕ
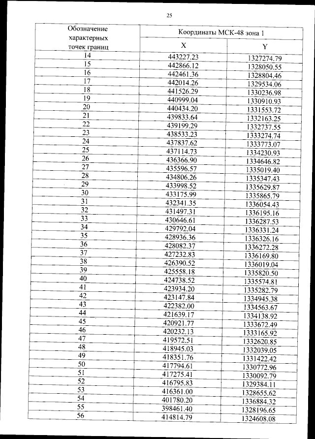
Приказ Федерального агентства воздушного транспорта от 12.08.2024 № 737-П
"Об установлении приаэродромной территории аэродрома гражданской авиации Липецк"
(Зарегистрирован 12.09.2024 № 79443)
Номер опубликования: 0001202409130002
Дата опубликования: 13.09.2024
Страница №26 из 213:
Увеличить