Официальное опубликование правовых актов
ОФИЦИАЛЬНОЕ ОПУБЛИКОВАНИЕ
Приказ Министерства промышленности и торговли Российской Федерации от 15.07.2024 № 3190
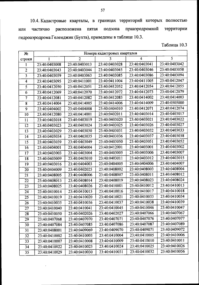
"Об установлении приаэродромной территории аэродрома экспериментальной авиации, расположенного на акватории, Геленджик (Бухта) в составе с 1 по 6 подзону"
(Зарегистрирован 16.08.2024 № 79173)
Номер опубликования: 0001202408160019
Дата опубликования: 16.08.2024
Страница №58 из 73:
Увеличить