Официальное опубликование правовых актов
ОФИЦИАЛЬНОЕ ОПУБЛИКОВАНИЕ
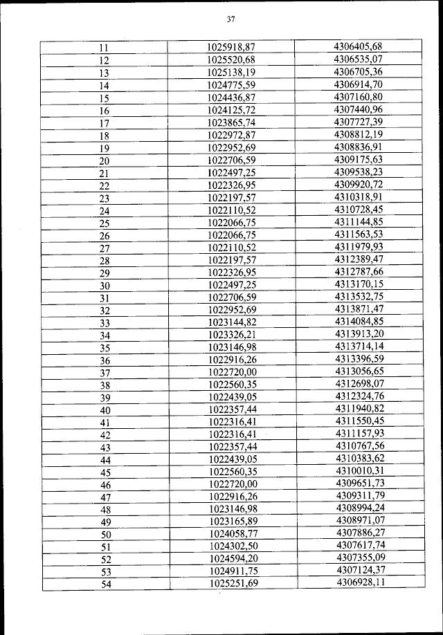
Приказ Федерального агентства воздушного транспорта от 21.05.2024 № 484-П
"Об установлении приаэродромной территории аэродрома гражданской авиации Омолон"
(Зарегистрирован 20.06.2024 № 78610)
Номер опубликования: 0001202406210013
Дата опубликования: 21.06.2024
Страница №38 из 150:
Увеличить