Официальное опубликование правовых актов
ОФИЦИАЛЬНОЕ ОПУБЛИКОВАНИЕ
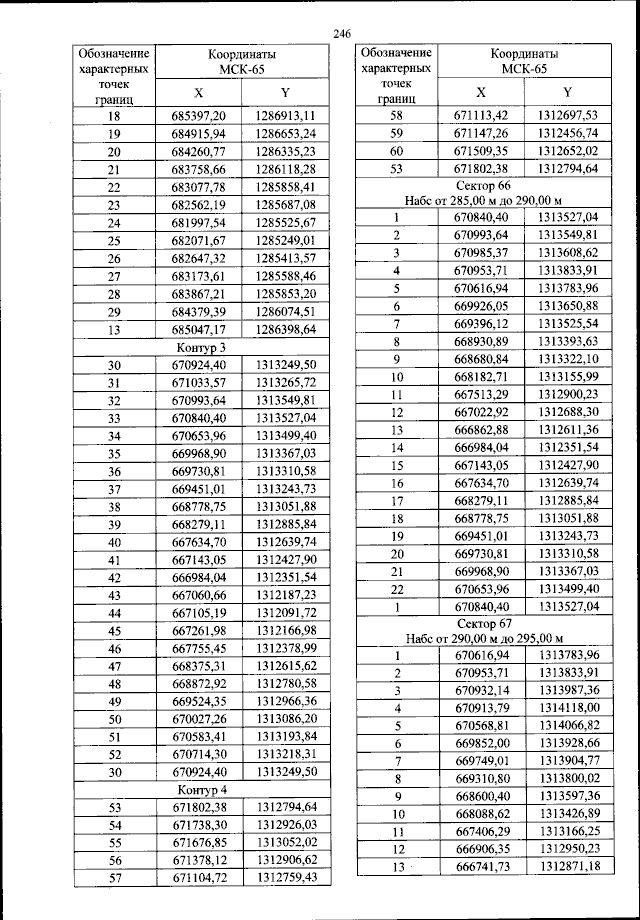
Приказ Федерального агентства воздушного транспорта от 21.05.2024 № 485-П
"Об установлении приаэродромной территории аэродрома гражданской авиации Южно-Сахалинск (Хомутово)"
(Зарегистрирован 20.06.2024 № 78612)
Номер опубликования: 0001202406210011
Дата опубликования: 21.06.2024
Страница №247 из 381:
Увеличить