Официальное опубликование правовых актов
ОФИЦИАЛЬНОЕ ОПУБЛИКОВАНИЕ
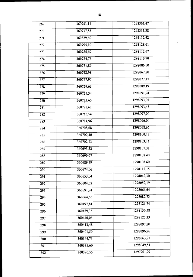
Приказ Министерства культуры Российской Федерации от 25.12.2023 № 3484
"Об утверждении границ территории, предмета охраны и требований к градостроительным регламентам в границах территории исторического поселения федерального значения город Галич Костромской области"
(Зарегистрирован 17.06.2024 № 78569)
Номер опубликования: 0001202406180010
Дата опубликования: 18.06.2024
Страница №20 из 345:
Увеличить