Официальное опубликование правовых актов
ОФИЦИАЛЬНОЕ ОПУБЛИКОВАНИЕ
Приказ Министерства культуры Российской Федерации от 20.03.2024 № 505
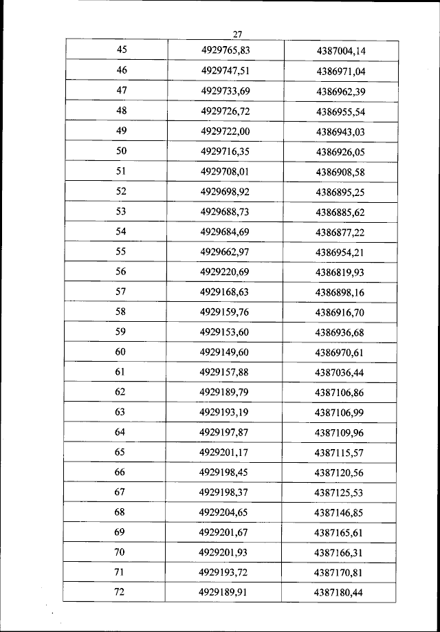
"О внесении изменений в приложения № 1 и № 2 к приказу Министерства культуры Российской Федерации от 12 августа 2016 г. № 1864 "Об утверждении требований к осуществлению деятельности и градостроительным регламентам в границах территории объекта культурного наследия федерального значения - достопримечательное место "Древний город Херсонес Таврический и крепости Чембало и Каламита", расположенного в городе Севастополе"
(Зарегистрирован 14.06.2024 № 78549)
Номер опубликования: 0001202406140030
Дата опубликования: 14.06.2024
Страница №27 из 61:
Увеличить