Официальное опубликование правовых актов
ОФИЦИАЛЬНОЕ ОПУБЛИКОВАНИЕ
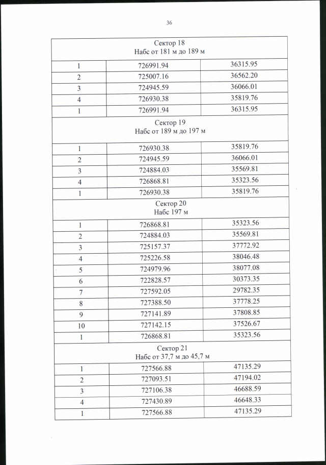
Приказ Федерального агентства воздушного транспорта от 05.02.2024 № 119-П
"Об установлении приаэродромной территории аэродрома гражданской авиации Диксон"
(Зарегистрирован 06.03.2024 № 77440)
Номер опубликования: 0001202403060011
Дата опубликования: 06.03.2024
Страница №37 из 119:
Увеличить