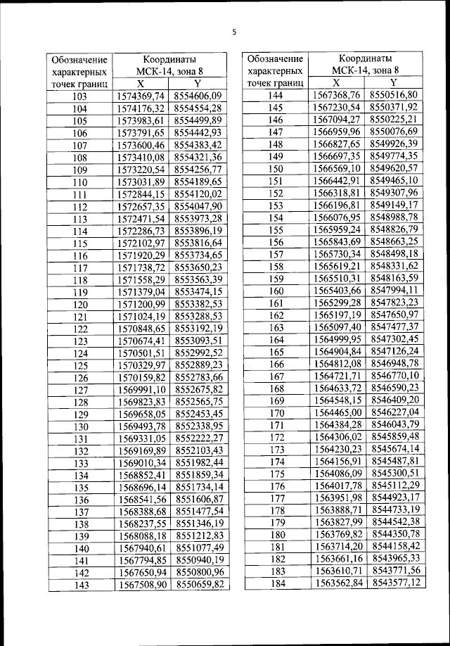
Приказ Федерального агентства воздушного транспорта от 01.02.2024 № 111-П
"Об установлении приаэродромной территории аэродрома гражданской авиации Среднеколымск"
(Зарегистрирован 01.03.2024 № 77406)
"Об установлении приаэродромной территории аэродрома гражданской авиации Среднеколымск"
(Зарегистрирован 01.03.2024 № 77406)
Номер опубликования: 0001202403040003
Дата опубликования:
04.03.2024
