Официальное опубликование правовых актов
ОФИЦИАЛЬНОЕ ОПУБЛИКОВАНИЕ
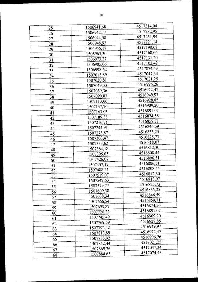
Приказ Федерального агентства воздушного транспорта от 01.02.2024 № 112-П
"Об установлении приаэродромной территории аэродрома гражданской авиации Уренгой"
(Зарегистрирован 01.03.2024 № 77397)
Номер опубликования: 0001202403040001
Дата опубликования: 04.03.2024
Страница №59 из 123:
Увеличить