Официальное опубликование правовых актов
ОФИЦИАЛЬНОЕ ОПУБЛИКОВАНИЕ
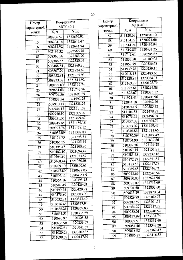
Приказ Федеральной службы войск национальной гвардии Российской Федерации от 25.11.2023 № 426
"Об установлении приаэродромной территории аэродрома государственной авиации Ермолино (Балабаново)"
(Зарегистрирован 25.01.2024 № 76992)
Номер опубликования: 0001202401260018
Дата опубликования: 26.01.2024
Страница №29 из 337:
Увеличить