Официальное опубликование правовых актов
ОФИЦИАЛЬНОЕ ОПУБЛИКОВАНИЕ
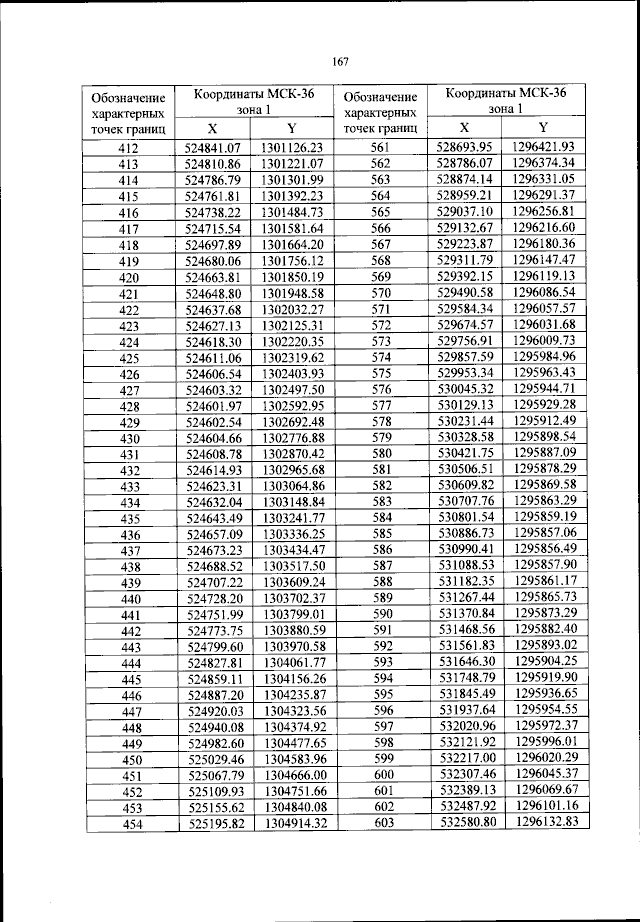
Приказ Федерального агентства воздушного транспорта от 07.12.2023 № 1116-П
"Об установлении приаэродромной территории аэродрома гражданской авиации Воронеж (Чертовицкое)"
(Зарегистрирован 15.01.2024 № 76857)
Номер опубликования: 0001202401150025
Дата опубликования: 15.01.2024
Страница №168 из 1060:
Увеличить