Официальное опубликование правовых актов
ОФИЦИАЛЬНОЕ ОПУБЛИКОВАНИЕ
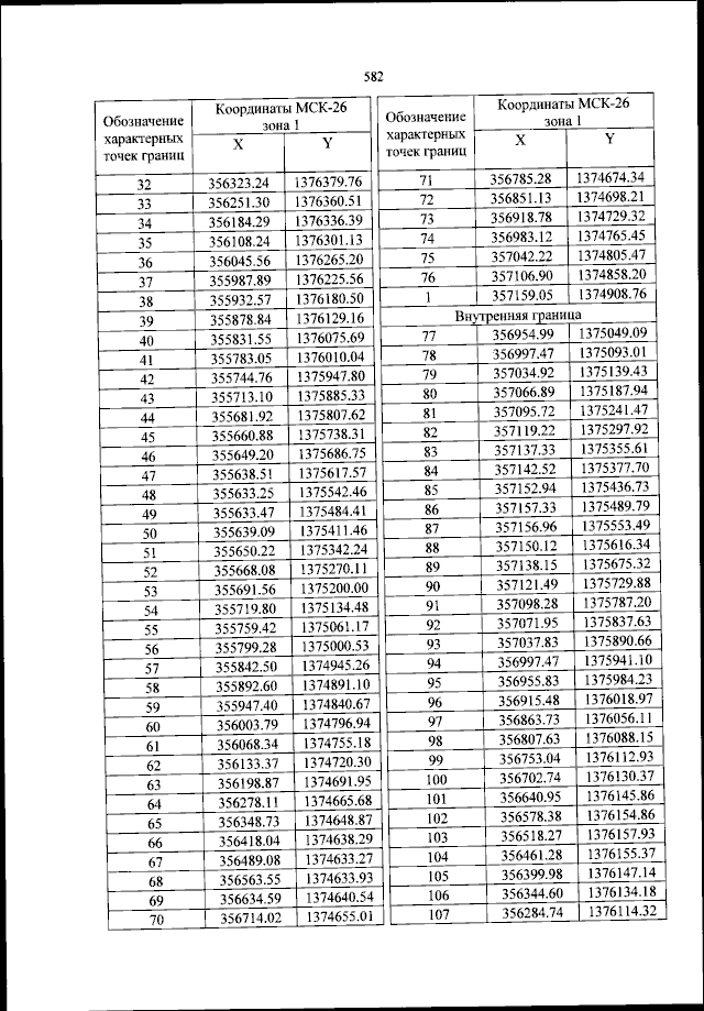
Приказ Федерального агентства воздушного транспорта от 07.12.2023 № 1115-П
"Об установлении приаэродромной территории аэродрома гражданской авиации Минеральные Воды"
(Зарегистрирован 29.12.2023 № 76733)
Номер опубликования: 0001202312290020
Дата опубликования: 29.12.2023
Страница №583 из 776:
Увеличить