Официальное опубликование правовых актов
ОФИЦИАЛЬНОЕ ОПУБЛИКОВАНИЕ
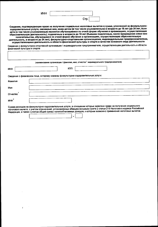
Приказ Федеральной налоговой службы от 12.10.2023 № БВ-7-11/734@
"Об утверждении форм документов, используемых при получении налоговых вычетов по налогу на доходы физических лиц в упрощенном порядке, а также форматов представления заявлений о получении налоговых вычетов по налогу на доходы физических лиц в упрощенном порядке в электронной форме"
(Зарегистрирован 01.12.2023 № 76232)
Номер опубликования: 0001202312010029
Дата опубликования: 01.12.2023
Страница №12 из 68:
Увеличить