Официальное опубликование правовых актов
ОФИЦИАЛЬНОЕ ОПУБЛИКОВАНИЕ
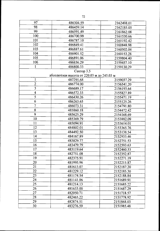
Приказ Федерального агентства воздушного транспорта от 23.10.2023 № 925-П
"Об установлении приаэродромной территории аэродрома гражданской авиации Омск (Центральный)"
(Зарегистрирован 22.11.2023 № 76060)
Номер опубликования: 0001202311230011
Дата опубликования: 23.11.2023
Страница №73 из 748:
Увеличить