Официальное опубликование правовых актов
ОФИЦИАЛЬНОЕ ОПУБЛИКОВАНИЕ
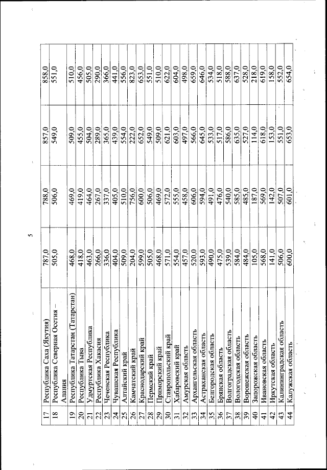
Приказ Федеральной антимонопольной службы от 12.10.2023 № 726/23
"О предельных минимальных и максимальных уровнях тарифов на электрическую энергию (мощность), поставляемую населению и приравненным к нему категориям потребителей, по субъектам Российской Федерации на 2024 год"
(Зарегистрирован 17.11.2023 № 75996)
Номер опубликования: 0001202311170009
Дата опубликования: 17.11.2023
Страница №5 из 7:
Увеличить