Официальное опубликование правовых актов
ОФИЦИАЛЬНОЕ ОПУБЛИКОВАНИЕ
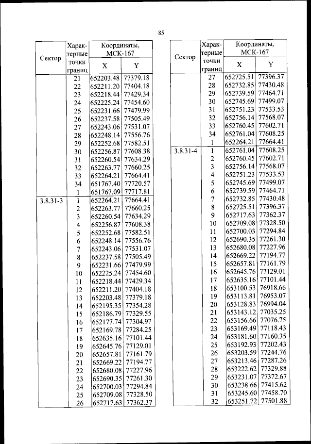
Приказ Федерального агентства воздушного транспорта от 16.10.2023 № 898-П
"Об установлении приаэродромной территории аэродрома гражданской авиации Черемшанка"
(Зарегистрирован 14.11.2023 № 75944)
Номер опубликования: 0001202311140027
Дата опубликования: 14.11.2023
Страница №86 из 444:
Увеличить