Официальное опубликование правовых актов
ОФИЦИАЛЬНОЕ ОПУБЛИКОВАНИЕ
Приказ Министерства культуры Российской Федерации от 18.10.2023 № 2904
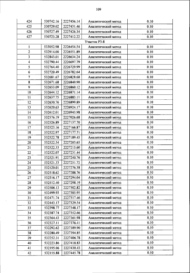
"Об утверждении границ зон охраны объекта культурного наследия федерального значения "Архитектурный ансамбль Троице-Сергиевой Лавры в городе Сергиев Посад", ХIV- середина ХХ века (Московская область, Сергиево-Посадский муниципальный район, городское поселение Сергиев Посад, г. Сергиев Посад), включенного в Список всемирного наследия, особых режимов использования земель и требований к градостроительным регламентам в границах территорий данных зон"
(Зарегистрирован 13.11.2023 № 75933)
Номер опубликования: 0001202311140024
Дата опубликования: 14.11.2023
Страница №109 из 210:
Увеличить