Официальное опубликование правовых актов
ОФИЦИАЛЬНОЕ ОПУБЛИКОВАНИЕ
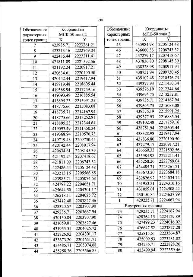
Приказ Федерального агентства воздушного транспорта от 13.10.2023 № 892-П
"Об установлении приаэродромной территории аэродрома гражданской авиации Москва (Домодедово)"
(Зарегистрирован 01.11.2023 № 75794)
Номер опубликования: 0001202311010003
Дата опубликования: 01.11.2023
Страница №211 из 334:
Увеличить